Solve this following

Question:

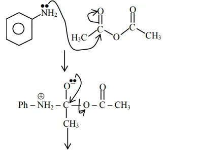
The major products $A$ and $B$ formed in the following reaction sequence are :


Correct Option: , 2

Solution:

    

Leave a comment