Question:
Mark $(\sqrt{)}$ against the correct answer in each of the following:
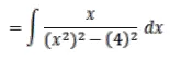
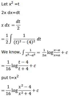
$\int \frac{x}{\left(x^{4}-16\right)} d x=?$
A. $\frac{1}{4} \log \left|\frac{x^{2}+4}{x^{2}-4}\right|+C$
B. $\frac{1}{16} \log \left|\frac{x^{2}+4}{x^{2}-4}\right|+C$
C. $\frac{1}{16} \log \left|\frac{x^{2}-4}{x^{2}+4}\right|+C$
D. none of these
Solution:

