Question:
Mark $(\sqrt{)}$ against the correct answer in each of the following:
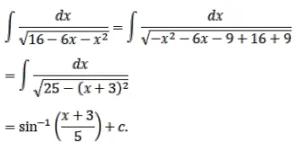
$\int \frac{d x}{\sqrt{16-6 x-x^{2}}}=?$
A. $\sin ^{-1}\left(\frac{x-3}{5}\right)+C$
B. $\sin ^{-1}\left(\frac{\mathrm{x}+3}{5}\right)+\mathrm{C}$
C. $\frac{1}{5} \sin ^{-1}(x+3)+C$
D. none of these
Solution:
