Solve this following

Question:

Evaluate:

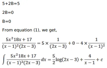
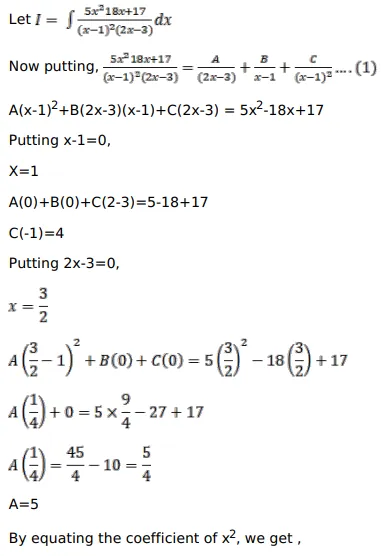
$\int \frac{\left(5 x^{2}-18 x+17\right)}{(x-1)^{2}(2 x-3)} d x$

Solution:

Leave a comment