Solve this following

Question:

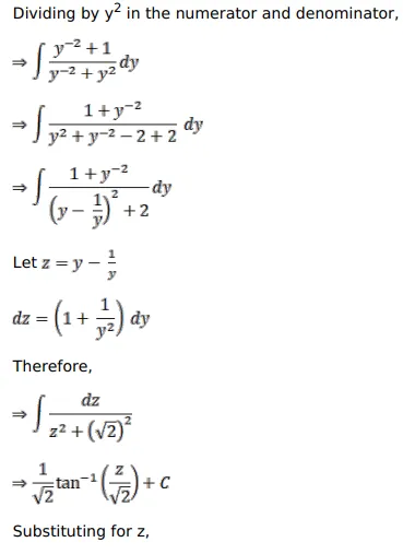
Evaluate:

$\int \frac{d x}{\left(\sin ^{4} x+\cos ^{4} x\right)}$

Solution:

Leave a comment