Solve this following
Question:
Mark $(\sqrt{ })$ against the correct answer in the following:
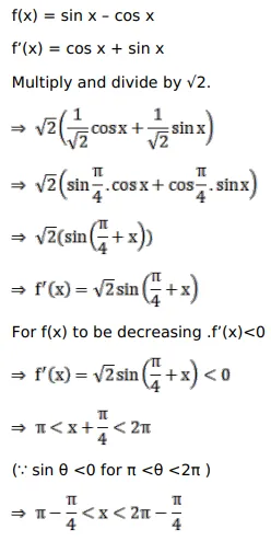
$f(x)=(\sin x-\cos x)$ is decreasing in
A. $\left(0, \frac{3 \pi}{4}\right)$
B. $\left(\frac{3 \pi}{4}, \frac{7 \pi}{4}\right)$
C. $\left(\frac{7 \pi}{4}, 2 \pi\right)$
D. none of these
Solution:
Given:

