Solve this following

Question:

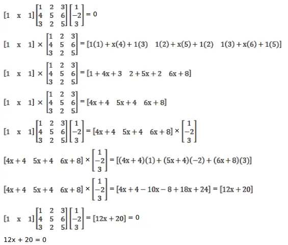
If $\left[\begin{array}{lll}1 & \mathrm{x} & 1\end{array}\right]\left[\begin{array}{ccc}1 & 2 & 3 \\ 4 & 5 & 6 \\ 3 & 2 & 5\end{array}\right]\left[\begin{array}{c}1 \\ -2 \\ 3\end{array}\right]=\mathrm{O}$, find $\mathrm{x}$

Solution:

Leave a comment