Solve this following

Question:

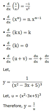
Differentiate each of the following w.r.t. x:

$\frac{1}{\left(x^{2}-3 x+5\right)^{3}}$

Solution:

Leave a comment