Solve this following

Question:

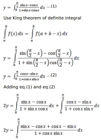
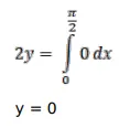
Prove that

$\int_{0}^{\pi / 2} \frac{(\sin x-\cos x)}{(1+\sin x \cos x)} d x=0$

Solution:

Leave a comment