Solve this following
Question:
Mark $(\sqrt{)}$ against the correct answer in each of the following:
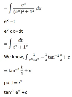
$\int \frac{e^{x}}{\left(e^{2 x}+1\right)} d x=?$
A. $\cot ^{-1}\left(e^{x}\right)+C$
B. $\tan ^{-1}\left(e^{x}\right)+C$
C. $2 \tan ^{-1}\left(\mathrm{e}^{\mathrm{x}}\right)+\mathrm{C}$
D. none of these
Solution:
