Solve this following

Question:

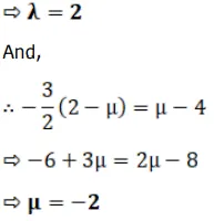
Find the values of $\lambda$ and $\mu$ so that the points $A(-1,4,-2), B(\lambda, \mu 1)$ and $C(0,2,-1)$ are collinear.

Solution:

Leave a comment