Solve this following

Question:

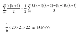
The $\operatorname{sum} \sum_{\mathrm{k}=1}^{20}(1+2+3+\ldots+\mathrm{k})$ is $\ldots$

Solution:

Leave a comment