Solve this following

Question:

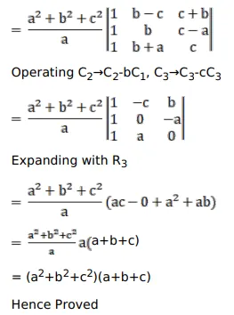
Prove that

$\left|\begin{array}{ccc}a & b-c & c+b \\ a+c & b & c-a \\ a-b & b+a & c\end{array}\right|=(a+b+c)\left(a^{2}+b^{2}+c^{2}\right)$

Solution:

Leave a comment