Question:
Mark $(\sqrt{)}$ against the correct answer in each of the following:
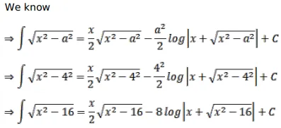
$\int \sqrt{x^{2}-16} d x=?$
A. $x \sqrt{x^{2}-16}-4 \log \left|x+\sqrt{x^{2}-16}\right|+C$
B. $\frac{x}{2} \sqrt{x^{2}-16}-8 \log \left|x+\sqrt{x^{2}-16}\right|+C$
C. $\frac{x}{2} \sqrt{x^{2}-16}+8 \log \left|x+\sqrt{x^{2}-16}\right|+C$
D. none of these
Solution:
