Solve this following

Question:

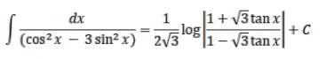
Evaluate:

$\int \frac{d x}{\left(\cos ^{2} x-3 \sin ^{2} x\right)}$

Solution:

Leave a comment