Solve this following

Question:

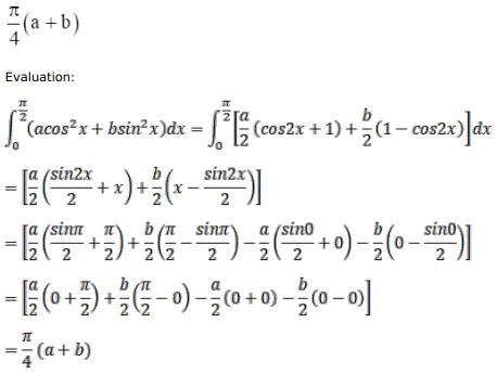
Evaluate:

$\int_{0}^{\pi / 2}\left(a \cos ^{2} x+b \sin ^{2} x\right) d x$

Solution:

Leave a comment