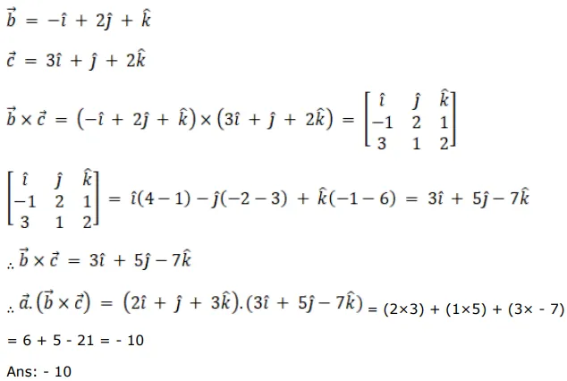
Question: Find $\overrightarrow{\mathrm{a}} \cdot(\overrightarrow{\mathrm{b}} \times \overrightarrow{\mathrm{c}})$ when $\vec{a}=(2 \hat{i}+\hat{j}+3 \hat{k}), \vec{b}=(-\hat{i}+2 \hat{j}+\hat{k})$ and $\vec{c}=(3 \hat{i}+\hat{j}+2 \hat{k})$
Solution:
