Solve this following

Question:

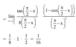
$\lim _{x \rightarrow \frac{\pi}{2}} \frac{\cot x-\cos x}{(\pi-2 x)^{3}}$ equals :-

  1. $\frac{1}{4}$

  2. $\frac{1}{24}$

  3. $\frac{1}{16}$

  4. $\frac{1}{8}$


Correct Option: , 3

Solution:

Leave a comment