Solve this following

Question:

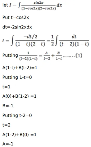
$\int \frac{\sin 2 x}{(1-\cos 2 x)(2-\cos 2 x)} d x$

Solution:

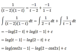
From equation (1), we get,

Leave a comment