Solve this following

Question:

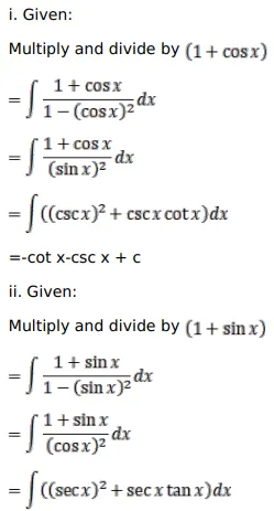
Evaluate:

i. $\int \frac{1}{(1-\cos x)} d x$

ii. $\int \frac{1}{(1-\sin x)} d x$

Solution:

$=\tan x+\sec x+c$

Leave a comment