Solve this following
Question:
Mark $(\sqrt{)}$ against the correct answer in each of the following:
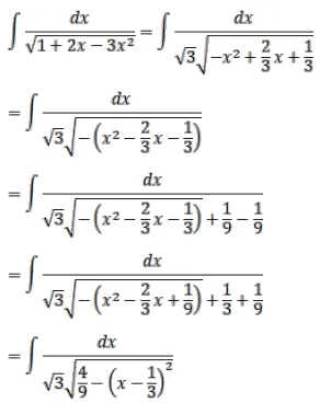
$\int \frac{\mathrm{dx}}{\sqrt{1+2 \mathrm{x}-3 \mathrm{x}^{2}}}=?$
A. $\frac{1}{\sqrt{3}} \sin ^{-1}\left(\frac{3 x-1}{2}\right)+C$
B. $\frac{1}{\sqrt{2}} \sin ^{-1}\left(\frac{2 x-1}{3}\right)+C$
C. $\frac{1}{\sqrt{3}} \sin ^{-1}\left(\frac{2 \mathrm{x}-1}{3}\right)+\mathrm{C}$
D. none of these
Solution:

