Solve this following

Question:

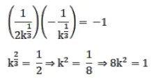
Show that the curves $\mathrm{x}=\mathrm{y}^{2}$ and $\mathrm{xy}=\mathrm{k}$ cut at right angles if $8 \mathrm{k}^{2}=1$.

Solution:

Leave a comment