Question:
Mark $(\sqrt{)}$ against the correct answer in each of the following:
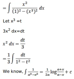
$\int \frac{x^{2}}{\left(1-x^{6}\right)} d x=?$
A. $\frac{1}{6} \log \left|\frac{1+x^{3}}{1-x^{3}}\right|+C$
B. $\frac{1}{6} \log \left|\frac{1-x^{3}}{1+x^{3}}\right|+C$
C. $\frac{1}{3} \log \left|\frac{1-x^{3}}{1+x^{3}}\right|+C$
D. none of these
Solution:

