Solve this following

Question:

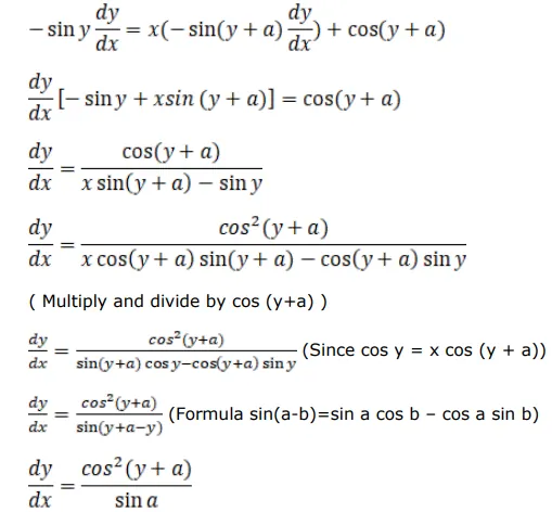
Find, when:

If $\cos y=x \cos (y+a)$, prove that $\frac{d y}{d x}=\frac{\cos ^{2}(y+a)}{\sin a}$.

Solution:

Leave a comment