Question:
Evaluate:
i. $\int x^{7} d x$
ii. $\int x^{-7} d x$
iii. $\int x^{-1} d x$
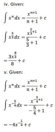
iv. $\int x^{5 / 3} d x$
v. $\int x^{-5 / 4} d x$
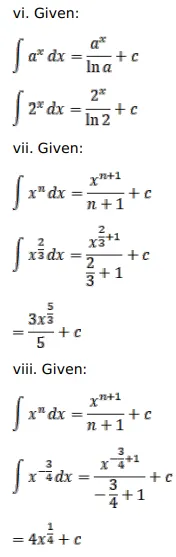
vi. $\int 2^{x} d x$
vii. $\int \sqrt[3]{\mathrm{x}^{2}} \mathrm{dx}$
viii. $\int \frac{1}{\sqrt[4]{x^{3}}} d x$
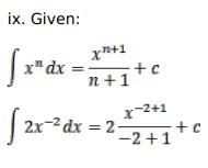
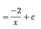
ix. $\int \frac{2}{x^{2}} d x$
Solution:




