Solve this following

Question:

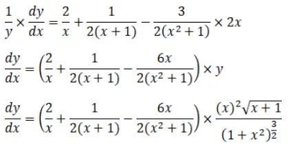
Find $\frac{d y}{d x}$, when:

$y=\frac{x^{2} \sqrt{1+x}}{\left(1+x^{2}\right)^{3 / 2}}$

Solution:

Leave a comment