Question:
Mark $(\sqrt{)}$ against the correct answer in each of the following:
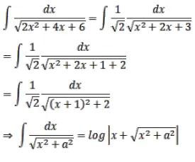
$\int \frac{\mathrm{dx}}{\sqrt{2 \mathrm{x}^{2}+4 \mathrm{x}+6}}=?$
A. $\frac{1}{2} \log \left|(x+1)+\sqrt{x^{2}+2 x+3}\right|+C$
B. $\frac{1}{\sqrt{2}} \log \left|(x+1)+\sqrt{x^{2}+2 x+3}\right|+C$
C. $\frac{1}{\sqrt{2}} \log \left|\mathrm{x}+\sqrt{\mathrm{x}^{2}+2 \mathrm{x}+3}\right|+\mathrm{C}$
D. none of these
Solution:

