Solve this following

Question:

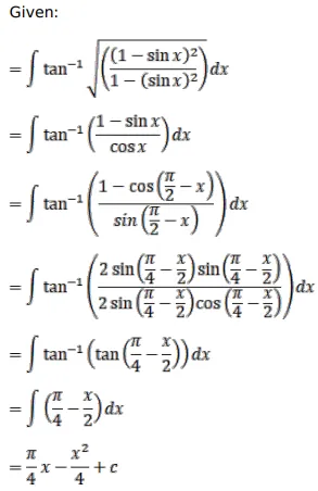
Evaluate:

$\int \tan ^{-1} \sqrt{\frac{1-\sin x}{1+\sin x}} d x$

Ans. $\frac{\pi x}{4}-\frac{x^{2}}{4}+C$

Solution:

Leave a comment