Question:
Mark $(\sqrt{)}$ against the correct answer in each of the following:
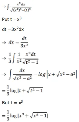
$\int \frac{x^{2}}{x^{6}-1} d x=?$
A. $\frac{1}{2} \log \left|\mathrm{x}^{3}+\sqrt{\mathrm{x}^{6}-1}\right|+\mathrm{C}$
B. $\frac{1}{3} \log \left|x^{3}+\sqrt{x^{6}-1}\right|+C$
C. $\frac{1}{3} \log \left|\mathrm{x}^{3}-\sqrt{\mathrm{x}^{6}-1}\right|+\mathrm{C}$
D. none of these
Solution:
