Solve this following

Question:

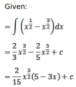
Evaluate:

$\int(1-x) \sqrt{x} d x$

Ans. $\frac{2}{15} \mathrm{x} \sqrt{\mathrm{x}}(5-3 \mathrm{x})+\mathrm{C}$

Solution:

Leave a comment