Solve this following

Question:

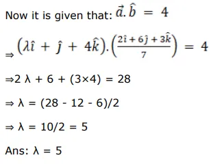
Find the value of $\lambda$ when the projection of $\vec{a}=(\lambda \hat{i}+\hat{j}+4 \hat{k})$ on $\overrightarrow{\mathrm{b}}=(2 \hat{\mathrm{i}}+6 \hat{\mathrm{j}}+3 \hat{\mathrm{k}})$ is 4 units.

Solution:

Leave a comment