Solve this following

Question:

Find, when:

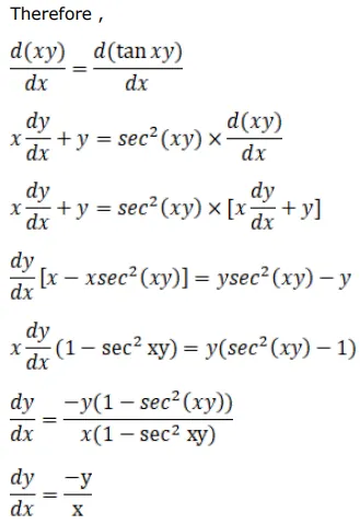
If $x y=\tan (x y)$, show that $\frac{d y}{d x}=\frac{-y}{x}$

 

Solution:

 

Leave a comment