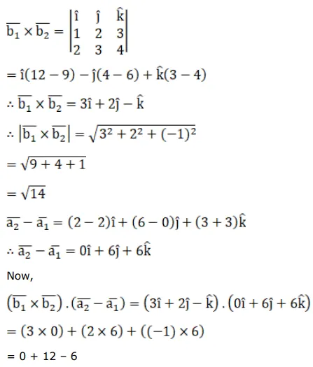
Question:
Show that the lines $\overrightarrow{\mathrm{r}}=(2 \hat{\mathrm{i}}-3 \hat{\mathrm{k}})+\lambda(\hat{\mathrm{i}}+2 \mathrm{j}+3 \hat{\mathrm{k}})$ and $\overrightarrow{\mathrm{r}}=(2 \hat{\mathrm{i}}+6 \hat{\mathrm{j}}+3 \hat{\mathrm{k}})+\mu$ $(2 \hat{\mathrm{i}}+3 \hat{\mathrm{j}}+4 \hat{\mathrm{k}})$ intersect.
Also, find their point of intersection.
Solution:





