Solve this following

Question:

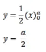
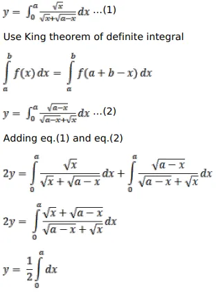
$\int_{0}^{a} \frac{\sqrt{x}}{(\sqrt{x}+\sqrt{a-x})} d x=\frac{\pi}{4}$

Solution:

Leave a comment