Question: Mark $(\sqrt{)}$ against the correct answer in each of the following:
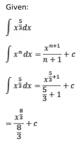
$\int x^{5 / 3} d x=?$
A. $\frac{3}{5} \mathrm{x}^{2 / 3}+\mathrm{C}$
B. $\frac{8}{3} \mathrm{x}^{8 / 3}+C$
C. $\frac{3}{8} \mathrm{x}^{8 / 3}+C$
D. $\frac{5}{3} \mathrm{x}^{8 / 3}+C$
Solution:

