Solve this following

Question:

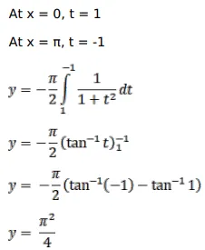
Prove that

$\int_{0}^{\pi} \frac{x \tan x}{(\sec x+\cos x)} d x=\frac{\pi^{2}}{4}$

Solution:

Leave a comment