Solve this following
Question:
Mark $(\sqrt{)}$ against the correct answer in each of the following:
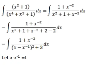
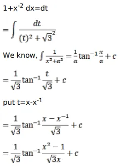
$\int \frac{\left(x^{2}+1\right)}{\left(x^{4}+x^{2}+1\right)} d x=?$
A. $\tan ^{-1} \frac{\left(x^{2}-1\right)}{\sqrt{3}}+C$
$B .$ $\frac{1}{\sqrt{3}} \tan ^{-1} \frac{\left(x^{2}-1\right)}{\sqrt{3}}+C$
C $\frac{1}{\sqrt{3}} \tan ^{-1} \frac{\left(x^{2}-1\right)}{\sqrt{3} x}+C$
D. none of these
Solution:

