Solve this following

Question:

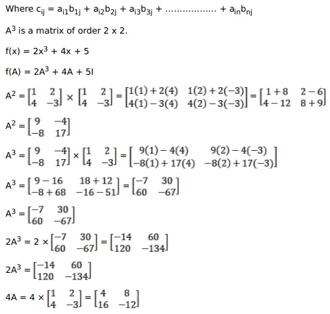
If $A=\left[\begin{array}{cc}1 & 2 \\ 4 & -3\end{array}\right]$ and $f(x)=2 x^{3}+4 x+5$, find $f(A)$

Solution:

Formula used

 

Leave a comment