Solve this following
Question:
Mark $(\sqrt{)})$ against the correct answer in each of the following:
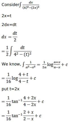
$\int \frac{\mathrm{dx}}{\left(16-4 \mathrm{x}^{2}\right)}=?$
A. $\frac{1}{8} \log \left|\frac{2-x}{2+x}\right|+C$
B. $\frac{1}{16} \log \left|\frac{2-x}{2+x}\right|+C$
C. $\frac{1}{8} \log \left|\frac{2+x}{2-x}\right|+C$
D. $\frac{1}{16} \log \left|\frac{2+x}{2-x}\right|+C$
Solution:
