Solve this following

Question:

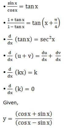
If $y=\frac{(\cos x+\sin x)}{(\cos x-\sin x)}$, prove that $\frac{d y}{d x}=\sec ^{2}\left(x+\frac{\pi}{4}\right)$

Solution:

 

Leave a comment