Solve this following

Question:

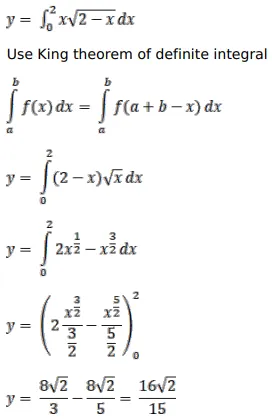
Prove that

$\int_{0}^{2} x \sqrt{2-x} d x=\frac{16 \sqrt{2}}{15}$

Solution:

Leave a comment