Solve this following

Question:

Mark $(\sqrt{)}$ against the correct answer in each of the following:

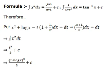
$\int \frac{(x+1)(x+\log x)^{2}}{x} d x=?$

A. $\frac{1}{3}(x+\log x)^{3}+C$

B. $\frac{x^{2}}{2}+x+C$

C. $\frac{x^{3}}{3}+\frac{x^{2}}{2}+x+C$

D. none of these

Solution:

Leave a comment