Solve this following
Question:
Mark $(\sqrt{ })$ against the correct answer in each of the following:
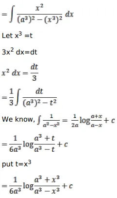
$\int \frac{x^{2}}{\left(a^{6}-x^{6}\right)} d x=?$
A. $\frac{1}{3 a^{3}} \log \left|\frac{a^{3}+x^{3}}{a^{3}-x^{3}}\right|+C$
B. $\frac{1}{6 a^{3}} \log \left|\frac{a^{3}+x^{3}}{a^{3}-x^{3}}\right|+C$
C. $\frac{1}{6 a^{3}} \log \left|\frac{a^{3}-x^{3}}{a^{3}+x^{3}}\right|+C$
D. none of these
Solution:
