Solve this following

Question:

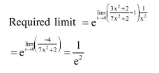
$\lim _{x \rightarrow 0}\left(\frac{3 x^{2}+2}{7 x^{2}+2}\right)^{\frac{1}{x^{2}}}$ is equal to

  1. $\frac{1}{\mathrm{e}}$

  2. $e^{2}$

  3. e

  4. $\frac{1}{\mathrm{e}^{2}}$


Correct Option: , 4

Solution:

 

Leave a comment