Solve this following

Question:

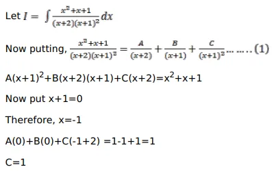
Evaluate:

$\int \frac{\left(x^{2}+x+1\right)}{(x+2)(x+1)^{2}} d x$

Solution:

Leave a comment