Solve this following

Question:

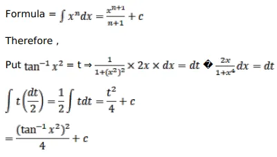
Evaluate the following integrals:

$\int \frac{x \tan ^{-1} x^{2}}{\left(1+x^{4}\right)} d x$

Solution:

Leave a comment