Solve this following

Question:

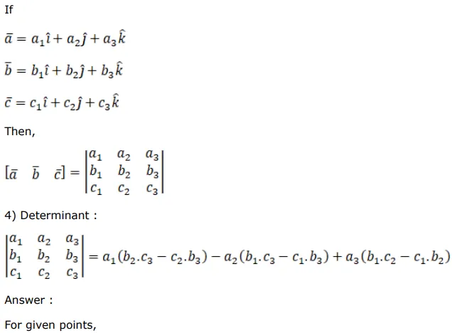
Find the value of $\lambda$ for which the points $A(3,2,1), B(4, \lambda, 5), C(4,2,-2)$ and $D(6,5,-1)$ are coplanar.

Solution:

Leave a comment