Solve this following

Question:

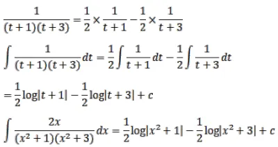
Evaluate:

$\int \frac{2 x}{\left(x^{2}+1\right)\left(x^{2}+3\right)} d x$

Solution:

Leave a comment