Question:
Mark $(\sqrt{)}$ against the correct answer in each of the following:
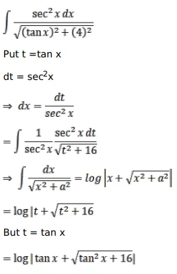
$\int \frac{\sec ^{2} x}{\sqrt{16+\tan ^{2} x}} d x=?$
A. $\log \left|\tan x+\sqrt{\tan ^{2} x+16}\right|+C$
B. $\log \left|x+\sqrt{\tan ^{2} x+16}\right|+C$
C. $\log \left|\tan x-\sqrt{\tan ^{2} x+16}\right|+C$
D. none of these
Solution:
