Solve this following

Question:

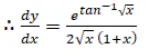
Differentiate each of the following w.r.t. $x$ :

$e^{\tan ^{-1} \sqrt{x}}$

Solution:

Leave a comment